电工电子课后答案 电工考试题+答案来了!对答案看你有没有过!(1)
电工考试题+答案来了!对答案看你有没有过!(1)
一、多项选择题(50个问题,每个问题1分,总共50分,每个问题只有一个备选答案最符合问题的含义)
1.高压设备带电时,电气操作( B )运行
A 允许 B 不允许 C 允许
2. 泄漏保护器不得安装在( D )经领导同意
A 一级和二级手持电动工具 B 施工现场使用的打桩机 C施工现场使用的搅拌机 D, 三类移动式家用电器
3.根据国家供电规定,高压用户的功率因数必须在( C ).
A 以上0.8 B 以上0.85 以上0.9 D 以上0.95
4. 当遥测500V以下电气设备的绝缘电阻时,电压等级为( a )的高阻表V应使用
A 500或1000 B 5000 C 2500 D 380
5.配电盘二次线的绝缘电阻不得小于( A )兆欧
A 1 B 0.22 C 0.5 D 2
6.在电容器组电路上工作时,电容器( C )
A 放电 B 断开 逐个放电和接地 D 隔离
7.对于向气体放电灯供电的三相四线照明线路,零线的横截面为相线
A 50% B C 70% D 100%
8.如果高压设备接地,人员不得接近故障点( C )米
A 4 B 10 8 20
9.无论电压抽头位于何处,如果施加的一次电压不超过其额定值( B ),额定电流可在变压器的二次侧磨损
A 110% B 105% C 115% D 120%
10.连接到未接地中性点的导线称为( B )
A 零线 B 中性线 C 保护零线 工作零线
二、多项选择题(20个问题,每个问题2分,总共40分,每个问题的两个或多个备选答案符合问题的含义)
1.以下文件( ACD )现场照明电压应为12V安全电压
A 煤矿井下作业 B 机床局部照明 C 手提灯 D 危险场所工作不便的狭窄场所 E 工人接触过大金属或金属框架chinuokejihulaoshi
2.注意:( ABDE )当使用兆欧表
A 被测设备应通电 B 237高压设备的绝缘电阻应使用电压等级为2500V的兆欧表 C 测量。晃动完成后,应首先停止晃动,断开线路后 D禁止在雷电情况下远程测量线路绝缘 E 测量高压设备或大容量设备可由一人进行
3. 低压设备或线路带电作业的安全预防措施包括(ABCE)
A 指定专人监护 B 使用绝缘工具 C 穿长袖衣服并收紧袖口 D 工作期间严禁使用金属工具 e站在绝缘垫上
4.漏电保护器从负载供电方式分为( ACD )
A 单相 B 两相 C 三相三线 D 三相四线
三、判断问题(10题,每题1分,共10分)
1.屏蔽保护装置除了防止触电外,还可以防止电弧伤害。(√)
2.导体的导电性与其横截面的平方成正比。(x)
以上就是关于电工的一些简单介绍,更多关于证书报考以及查询还有不清楚的,可以私信我或关注微信公众号“21世纪打工人”哦,关注我,不迷路,了解更多行业考证详细资讯
电工技术(试题及答案)
电工技术1(试题及答案)-第2套
1、试用戴维宁定理求电流 I 。(12分)
编辑
添加图片注释,不超过 140 字(可选)
解: 开路电压
编辑
添加图片注释,不超过 140 字(可选)
2、用电源等效变换法求电流 I 。(8分)
编辑
添加图片注释,不超过 140 字(可选)
解:
编辑切换为居中
添加图片注释,不超过 140 字(可选)
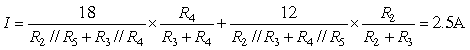
3、已知 R 1=1 W, R 2= R 3= R 4= R 5=6 W。试用叠加原理求电流 I 。(12分)
编辑
添加图片注释,不超过 140 字(可选)
解:
编辑
添加图片注释,不超过 140 字(可选)
编辑切换为居中
添加图片注释,不超过 140 字(可选)
5、已知总电压的有效值为 U =220 V,1号、2号电压表的读数为 U 1= U 2=127 V。试求3号电压表的读数 U 3,并画出电压与电流的相量图。(12分)
编辑
添加图片注释,不超过 140 字(可选)
编辑
添加图片注释,不超过 140 字(可选)
编辑切换为居中
添加图片注释,不超过 140 字(可选)
编辑切换为居中
添加图片注释,不超过 140 字(可选)
编辑切换为居中
添加图片注释,不超过 140 字(可选)
9、某 三 相 异 步 电 动 机,铭 牌 数 据 如 下:D 形 接 法, P N = 45 kW, U N = 380 V, n N = 980 r / min, h N = 92 %, l N = 0.87 , I st / I N = 6.5, T st / T N = 1.8。求:
(1) 直 接 起 动 时 的 起 动 转 矩 及 起 动 电 流;
(2) 采 用 U-D 方 法 起 动 时 的 起 动 转 矩 及 起 动 电 流。(8分)
编辑切换为居中
添加图片注释,不超过 140 字(可选)
10、填空题(每空1分,共8分)
(1)、熔断器在电路中起 短路 保护作用;热继电器在电路中起 过载 保护作用。接触器具有 欠压和失压 保护作用。
(2)、RL串联电路中,测得电阻两端电压为120V,电感两端电压为160V,则电路总电压是 200 V。
(3)、品质因数越大,电路的 选择 性越好,但不能无限制地加大品质因数,否则将造成 通频带 变窄,致使接收信号产生失真。
(4)、非正弦周期量的有效值与正弦量的有效值定义相同,但计算式有很大差别,非正弦量的有效值等于它的各次 谐波 有效值的 平方和 的开方。
相关问答
合工大出的电工电子技术答案-jlZUHBlTjOw的回答-懂得
所有的答案也是仅供参考里面可能会有混淆的答案,在网上是问不到答案的哈这样反而会让自己学习不能循序渐进百度上搜吧所有的答案也是仅供参考里...



